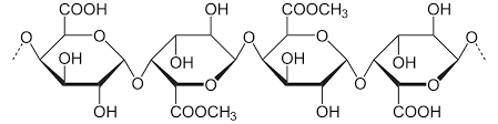
Etiket bilgilerinde sıkça karşımıza çıkan bir katkı maddesidir. Pektin, yüksek yapılı bitkilerin hücre duvarında bulunur, doğal bir polisakkarittir. Elma, ayva, portakal kabuğunda bolca bulunur. Pektin açık renklidir ve su içerisinde çözünür. En önemli özelliği uygun koşullarda jel oluşturmasıdır. Bu özellik gıda sanayindeki kullanım alanını arttırır. Ayrıca stabilizatör olarak görev yapar. Reçel ve marmelat, jöle yapımı, meyve suları en geniş kullanım alanlarıdır. Ticari olarak kullanılan pektin elma ve portakal posalarından elde edilir. Türk Gıda Kodeksi ’ne göre belirtilen gıdalardaki kullanım miktarı QS (herhangi bir en yüksek düzey belirtilmemiş. İstenilen etkinin sağlandığı en düşük miktar) olarak belirlenmiştir.
Yorumları Göster
